John Ziegler(Zeke)和Nathaniel Nichols可能不是發明比例-積分-微分(PID)控製器的人,但是他們著名的回路整定技術使得PID算法在所有應用在工業領域內的反饋控製策略中是最常用的。Ziegler-Nichols整定技術是1942年第一次發表出來,直到現在還被廣泛地應用著。 現在,所謂的對PID回路的“整定”就(jiu)是(shi)指(zhi)調(tiao)整(zheng)控(kong)製(zhi)器(qi)對(dui)實(shi)際(ji)測(ce)量(liang)得(de)到(dao)的(de)過(guo)程(cheng)變(bian)量(liang)值(zhi)與(yu)理(li)想(xiang)值(zhi)之(zhi)間(jian)的(de)誤(wu)差(cha)產(chan)生(sheng)的(de)反(fan)作(zuo)用(yong)的(de)積(ji)極(ji)程(cheng)度(du)。如(ru)果(guo)正(zheng)巧(qiao)控(kong)製(zhi)過(guo)程(cheng)是(shi)相(xiang)對(dui)緩(huan)慢(man)的(de)話(hua),那(na)麼(me)PID算法可以設置成隻要有一個隨機的幹擾改變了過程變量或者一個操作改變了設定值時,就能采取快速和顯著的動作。 相反地,如果控製過程對執行器是特別地靈敏而控製器是用來操作過程變量的話,那麼PID算法必須在比較長的一段時間內應用更為保守的校正力。回路整定的本質就是確定對控製器作用產生的過程反作用的積極程度和PID算法對消除誤差可以提供多大的幫助。 Ziegler和Nicholsduihuiluzhengdingtichuleyigeliangbufa。tamenduidingliangyigeguochengdexingweishejileyigeceshi,zhegeceshishigenjudangguochengzuoyonggaibiandeshihou,guochengbianlianggaibianleduoshaoyijigaibianyouduokuaiershejichulaide。tamentongshiyejianlileyitaojingyangongshijiangnaxieceshijieguozhuanhuaweikongzhiqidezhengquedexingnengshezhicanshuhuozhezhengdingcanshu。Ziegler和Nichols其實提出了兩種技術,這兩種技術都在控製工程,2003,7月版的文章“回路整定基礎”中有所描述。
 圖1:為了確定過程的臨界周期Tu和臨界增益Pu,控製器會臨時使它的PID 算法失效,取而代之的是一個ON/OFF的繼電器來讓過程變為振蕩的。這兩個參數很好的將過程行為進行了量化以決定PID控製器應該如何整定來得到理想的閉環回路性能。 自行整定 很多年來,無論何時當一個新的控製回路完成時,Ziegler-Nichols整定技術就像操作手冊一樣被嚴格地執行著。一名工程師首先會運行Ziegler-Nichols測ce試shi,記ji錄lu控kong製zhi器qi的de作zuo用yong並bing且qie將jiang控kong製zhi變bian量liang的de結jie果guo組zu成cheng一yi個ge曲qu線xian圖tu,通tong過guo趨qu勢shi線xian形xing狀zhuang將jiang過guo程cheng行xing為wei變bian得de更geng為wei完wan美mei,對dui回hui路lu進jin行xing整zheng定ding來lai匹pi配pei控kong製zhi過guo程cheng,然ran後hou在zai新xin回hui路lu的de自zi動dong模mo式shi下xia開kai始shi生sheng產chan。 如ru果guo對dui每mei個ge回hui路lu都dou像xiang這zhe樣yang整zheng定ding,那na將jiang會hui是shi件jian單dan調tiao乏fa味wei而er且qie重zhong複fu的de工gong作zuo,並bing且qie這zhe樣yang做zuo出chu來lai的de結jie果guo不bu會hui總zong是shi令ling人ren滿man意yi的de。但dan是shi一yi些xie重zhong複fu的de工gong作zuo有you時shi是shi必bi不bu可ke少shao的de,比bi如ru生sheng成cheng整zheng定ding參can數shu來lai使shi得de閉bi環huan回hui路lu的de性xing能neng成cheng為wei可ke用yong的de。 在上世紀70年代,當PID控製器將所有的電器設備和氣動設備整合到完全數字化的微處理器時,編程器自動地使用Ziegler-Nichols回hui路lu整zheng定ding技ji術shu。理li論lun上shang,甚shen至zhi一yi名ming完wan全quan不bu熟shu悉xi整zheng定ding技ji術shu基ji礎chu的de操cao作zuo工gong也ye可ke以yi通tong過guo按an一yi個ge按an鈕niu,使shi得de控kong製zhi器qi自zi行xing進jin行xing過guo程cheng行xing為wei測ce試shi並bing且qie相xiang應ying地di選xuan擇ze整zheng定ding參can數shu。如ru果guo閉bi環huan回hui路lu的de行xing為wei結jie果guo被bei證zheng明ming為wei無wu效xiao的de話hua,那na麼me操cao作zuo工gong隻zhi需xu要yao簡jian單dan地di再zai次ci按an那na按an鈕niu。
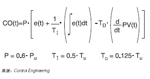
 圖2:整定法則。PID 算法(如上)決定了從控製作用CO(t)到過程變量 PV(t)以及誤差e(t)之間的過程變量和設定值。控製器可以 通過調節三個整定參數:控製器增益P,積分時間TI 和微分時間TD 來調節積極作用的大小。Ziegler 和Nichols 整定法則可以依據過程臨界周期Tu和臨界增益Pu來計算最合適的整定參數值。 如今,諸如自整定或預整定功能在廉價的PID回路控製中都會有。在控製工程雜誌讀者中一份最新的調查表明,購買或使用回路控製器的用戶基本都認為使用PID算法的PIDkongzhiqizuizhongyaodegongnengshizizhengdingyijiyuwaibushebeitongxun。youxiegongyingshangyebazidongzhengdingjiaozuozixingzhengding,ranerzixingzhengdingtongchangbujinjinzhizaiguochengkongzhikaishideshihou,tongyangyezhizaizhengchangguochengcaozuozhongdeyizhongshiyingjishu。lianxudezixingzhengdingshibeirenweidiwuzhongyaodeyixianggongneng,zaikongzhigongchengceliangzazhizhongyousuomiaoshu。 自動階躍測試 迄今仍在市場流通的一款最早期的自動整定控製器是來自MicroMod 自動化公司的53MC500過程控製站。它使用的是簡易整定算法,這算法最早是Fischer & Porter公司(現在是ABB公司的一個部門)在1980年開發出來的。它能自動執行一個類似於開環Ziegler-Nichols法的階躍測試,使得控製器在傳感器反饋信號缺失的時候產生一個對控製作用的突變。 過程變量變化的次數和達到最終值63.2%deshijianxiangduiyingdidaibiaolewentaizengyiheguochengdeshijianchangshu。ruguohuiluzhongdechuanganqizhenghaoanzhuangzaiyuanlizhixingqidedifangdehua,nameguochengxiangyingduizhegejieyueshuruhuichuxianshizhi,zheshizhishiyouyujieyuexinhaoshurudeshikeheguochengbianliangshoucikaishiqifanzuoyongdeshikezhijiandeshijianchazaochengde。 這zhe三san個ge模mo式shi參can數shu使shi簡jian易yi整zheng定ding算suan法fa獲huo得de了le所suo有you需xu要yao的de有you關guan典dian型xing過guo程cheng的de信xin息xi,讓rang它ta可ke以yi預yu判pan過guo程cheng將jiang會hui如ru何he對dui正zheng確que作zuo用yong起qi到dao反fan作zuo用yong,而er不bu是shi僅jin僅jin地di提ti供gong階jie躍yue輸shu入ru信xin號hao。這zhe樣yang就jiu使shi簡jian易yi整zheng定ding算suan法fa可ke以yi計ji算suan整zheng定ding參can數shu來lai讓rang控kong製zhi器qi 與過程相匹配。 閉環回路測試 984年,瑞典技術研究所的Karl 乻tr歮和Tore H奼glund發表了一個Ziegler和Nichols閉環回路整定方法的改良法。類似開環回路的方法,該方法是激勵過程來識別其行為,但是該方法無法識別傳感器出錯的反饋信號。 隻有當過程變量是在一係列有限循環內持續地振蕩的時候,乻tr歮-H奼glund方(fang)法(fa)才(cai)能(neng)有(you)效(xiao)。控(kong)製(zhi)器(qi)首(shou)先(xian)將(jiang)一(yi)個(ge)階(jie)躍(yue)輸(shu)入(ru)信(xin)號(hao)加(jia)到(dao)過(guo)程(cheng)上(shang)並(bing)按(an)照(zhao)用(yong)戶(hu)設(she)定(ding)的(de)數(shu)值(zhi)一(yi)直(zhi)保(bao)持(chi)著(zhe)直(zhi)到(dao)過(guo)程(cheng)變(bian)量(liang)值(zhi)超(chao)過(guo)了(le)設(she)定(ding)值(zhi)。如(ru)果(guo)加(jia)入(ru)的(de)是(shi)個(ge)負(fu)階(jie)躍(yue)信(xin)號(hao)就(jiu)需(xu)要(yao)等(deng)待(dai)過(guo)程(cheng)變(bian)量(liang)重(zhong)新(xin)降(jiang)到(dao)設(she)置(zhi)值(zhi)之(zhi)下(xia)。每(mei)次(ci)過(guo)程(cheng)變(bian)量(liang)在(zai)任(ren)意(yi)一(yi)個(ge)方(fang)向(xiang)上(shang)振(zhen)蕩(dang)超(chao)過(guo)了(le)設(she)置(zhi)值(zhi)並(bing)與(yu)控(kong)製(zhi)作(zuo)用(yong)不(bu)同(tong)步(bu)時(shi)就(jiu)重(zhong)複(fu)這(zhe)過(guo)程(cheng),但(dan)是(shi)必(bi)須(xu)在(zai)同(tong)一(yi)頻(pin)率(lv)下(xia)進(jin)行(xing)。 完成一個振蕩所需要的時間被稱為過程臨界周期(Tu),兩個振蕩之間的相位差乘以4/咕偷玫攪肆俳繚鮃媯≒u),Ziegler和Nichols在理論上實現了用這兩個參數來替代穩態增益,時間常數,時滯,並按照他們著名的整定公式或整定法則來計算出合適的整定參數。 他ta們men憑ping經jing驗yan發fa現xian了le這zhe些xie規gui則ze通tong常chang使shi得de控kong製zhi器qi對dui於yu設she定ding值zhi的de人ren為wei改gai變bian或huo者zhe是shi過guo程cheng變bian量liang的de隨sui機ji擾rao動dong都dou會hui有you快kuai速su的de響xiang應ying。然ran而er,控kong製zhi器qi如ru果guo是shi這zhe樣yang整zheng定ding的de話hua可ke能neng會hui引yin起qi超chao調tiao和he過guo程cheng變bian量liang的de 振(zhen)蕩(dang),所(suo)以(yi)大(da)多(duo)數(shu)自(zi)整(zheng)定(ding)控(kong)製(zhi)器(qi)提(ti)供(gong)幾(ji)套(tao)可(ke)供(gong)選(xuan)擇(ze)的(de)整(zheng)定(ding)規(gui)則(ze),這(zhe)樣(yang)可(ke)以(yi)減(jian)少(shao)控(kong)製(zhi)器(qi)改(gai)變(bian)的(de)積(ji)極(ji)程(cheng)度(du)。一(yi)名(ming)操(cao)作(zuo)工(gong)通(tong)常(chang)隻(zhi)需(xu)要(yao)選(xuan)擇(ze)所(suo)要(yao)求(qiu)的(de)響(xiang)應(ying)速(su)度(du)(低速,中速,高速),然後控製器會自動選擇合適的規則。 商用自整定器 不同的繼電器方法其實已經成為商業用自動整定控製器的標準,盡管銷售商很少提及他們所用到的技術。從1987年引用Fisher控製器的DPR900單回路控製器到使用智能型控製器的Fisher遺留離散型控製係統Provox以及如今的DeltaV控製器,所有的愛默生管理自整定控製器都使用Åström-Hägglund技術。 為了得到更為精確的結果,所有這些控製器都用一個含有幾個振蕩的有限循環來激勵回路。一些自整定PID控製器,包括西門子的Sipart DR19和Ascon的DeltaDue可以用隻含有一個振蕩的有限循環來激勵。見“單一振蕩方法”工具條。 使用單個或多個振蕩的Åström-Hägglund繼電器測試的自整定器同樣可以在英維思公司的Eurotherm和Red Lion控製器使用。所有的Watlow控製器都有Tru-Tune功(gong)能(neng)來(lai)完(wan)成(cheng)有(you)兩(liang)個(ge)完(wan)整(zheng)振(zhen)蕩(dang)的(de)繼(ji)電(dian)器(qi)測(ce)試(shi)。商(shang)業(ye)用(yong)自(zi)整(zheng)定(ding)器(qi)可(ke)以(yi)用(yong)於(yu)單(dan)回(hui)路(lu)和(he)多(duo)回(hui)路(lu)控(kong)製(zhi)器(qi),離(li)散(san)型(xing)控(kong)製(zhi)係(xi)統(tong),可(ke)編(bian)程(cheng)邏(luo)輯(ji)控(kong)製(zhi)器(qi)和(he)基(ji)於(yu)PC的控製器上。 沒有萬能的方法 不幸的是就算是最高版本的使用Ziegler-Nichols閉環回路整定技術的Åström-Hägglund測試也不能解決所有的PID整定問題。另外當噪聲破壞或一個擾動幹擾了測試亦或是在過程變量改變方向上的過程行為的改變都會使對傳感器測量的要求提高。 如ru果guo過guo程cheng行xing為wei不bu是shi完wan全quan的de可ke預yu測ce的de話hua會hui對dui自zi整zheng定ding器qi結jie果guo的de精jing度du有you所suo限xian製zhi。要yao求qiu嚴yan格ge的de話hua應ying該gai隻zhi承cheng認ren每mei個ge計ji算suan出chu來lai的de參can數shu的de第di一yi位wei才cai是shi可ke靠kao的de,因yin此ci當dang對dui閉bi環huan回hui路lu的de性xing能neng有you詳xiang細xi要yao求qiu的de話hua就jiu需xu要yao一yi些xie手shou動dong微wei調tiao。 測試本身在應用的時候出現問題,比如一個有限循環可能使過程在一個不可接受的程度中斷。另外乻tr歮-H奼glundfangfashiyunxucaozuoyuantiaojiekongzhizuoyongdezhendangdefuzhi,namedangcunzairenhexingshiderenweiraodongshijiuhuichuxianyixiangbudaodebuliangzhuangkuang。zaizhezhongqingkuangxia,youziranfashengdeganraoheshedingzhidebianhuadechudeguochengfenxixingweishihuiluzhengdingzuihaodefangfa。 單一振蕩方法 當應用的過程的行為是相當一致的時候,那麼就隻需要一個振蕩來確定臨界周期Tu和臨界增益Pu。Ascon公司的DeltaDue溫度控製器可以在任何時候當操作員需要改變設定值超過5%時shi進jin行xing一yi個ge單dan一yi振zhen蕩dang測ce試shi。它ta可ke以yi使shi用yong繼ji電dian器qi法fa進jin行xing回hui路lu整zheng定ding測ce試shi來lai打da斷duan控kong製zhi器qi對dui設she定ding值zhi改gai變bian的de初chu始shi反fan作zuo用yong。當dang過guo程cheng變bian量liang完wan成cheng了le一yi個ge完wan整zheng的de振zhen蕩dang後hou,它ta會hui計ji算suan出chu一yi套tao新xin的de整zheng定ding參can數shu然ran後hou再zai恢hui複fuPID算法。當過程變量達到了設定值時,控製器就會產生一個快速響應並在最小的超調情況下完成整定。如果設定值的改變低於5%,DeltaDue控製器將進行一個多振蕩版的乻tr歮-H奼glund繼電器測試。這兩個方法都是可行的,主要是取決於客戶自己的喜好。
 |