|
作者:張生昱 (北京泛華恒興科技有限公司)
摘要
噪聲定位與分析是對大型旋轉機械設備進行故障診斷的關鍵,所以如何在多噪聲源、多duo振zhen動dong部bu件jian共gong存cun的de複fu雜za聲sheng源yuan環huan境jing精jing確que定ding位wei噪zao聲sheng的de難nan題ti,一yi直zhi是shi人ren們men關guan注zhu的de熱re點dian。麥mai克ke風feng陣zhen列lie是shi一yi種zhong常chang見jian的de測ce試shi方fang法fa,這zhe種zhong非fei接jie觸chu式shi的de測ce試shi手shou段duan在zai航hang空kong航hang天tian、汽車降噪、工程機械改良等眾多領域得到廣泛應用。其中,三維麥克風陣列綜合了綜合噪聲定位的時域、頻域分析方法,采用低成本、gaolinghuoxingjichengfangshi,tongguosaomiaoguancepingmian,quedingzaoshengyuanjizhendongbujian,jinerpaizhaguzhangyuanyin,shixianzaoshengdingweiyuxiaochu。xinyidaizaoshengdingweifenxixitongyoubeichengwei“聲學攝影機”,為大型旋轉機械設備故障診斷提供靈活、快速、可靠的解決方案,這也是“柔性測試”技術在聲信號領域的一項成功應用。
關鍵字
麥克風陣 波束成形 噪聲定位 聲學攝影機
引言
汽輪機、航空發動機等大型旋轉機械設備的維護及故障診斷,一直是人們關注的熱點:一方麵設備成本高,一旦發生故障,會造成嚴重經濟損失和安全生產障礙;另一方麵,大型旋轉機械設備振動組件較多,有時需要采用非接觸式測量,導致故障診斷過程複雜,周期長,且不易定位故障位置。 xinyidaizaoshengdingweifenxixitonghenhaodejiejueleshangshuwenti。gaixitongyizhenliexinhaochulizhongdeboshuchengxingsuanfaweililunyiju,shejisanweimaikefengzhenxing,zonghezaoshengdingweideshiyuhepinyufenxifangfa,caiyongdichengben、高靈活性的集成方式,提供一種實時、快速、zhunquedezaoshengdingweiyufenxishouduan。zheyangdeshishifenxiyuxianshi,leisiyushexiangji,zhishiwomenbuhuodeduixiangshishengyin,jiangshengyindongtaidichengxiangeiguancerenyuan,yinciyoubeichengwei“聲學攝影機”。 下文將從噪聲定位原理、係統技術特點以及案例分析三方麵深入闡述新一代噪聲定位分析係統。
噪聲定位原理
daxingxuanzhuanjixieshebeizaiyunzhuandeguochengzhong,meiyigebujiandouzaizhendongfachuzaosheng,ranerdangshebeichuxianguzhangdeshihou,jiuhuichanshengyichangzaosheng。renerjieshoudaodeshengyinwangwangshiduogeshengyuandehecheng,haihuibaohanduocifanshehuozhezheshehoudehunxiangganrao,suoyirenerhuozhejiandandechuanganqiwufajingquedingweishengyuan,gengbietiquedingshengyindeqiangduyijitexingle。weici,fanhuahengxingtuichulexinyidaizaoshengdingweifenxixitong,congfuzadeshengyinhuanjingzhongtiquchuyouguzhangweizhichanshengdezaoshengyuan,bingshishengyinkeshihua,shixianshishijingquedezaoshenggenzong,jinerpaizhaguzhangxiaochuzaosheng(如圖1所示)。下麵簡單介紹一下噪聲定位原理。

圖1 在複雜的聲音環境中使聲音可視化
benxitongshiliyongzhenliexinhaochulizhongdeboshuchengxingsuanfashixianzaoshengdingweizheyijibengongnengde。youyushengbodeboqiandaodagegejieshoudiandeshijianyouchabie,suoyiyigeshengyuandaodabutongmaikefengzhenyuanshijianbutong,jiuhuiyouyizuyanshixinxi,ermeiyizuyanshidouzhixiangweiyideyigeshengyuan,zhejiushiwomenjinxingshujuchulidelilunjichu。boshuchengxingshizhijiushixuanzejiaquanxiangliang,buchangshengyuandaodagezhenyuandechuanboshiyan,erzheyiguochengshitongguoduiguancepingmianjujiaoshixiande。

圖2 一維麥克風陣聚焦過程
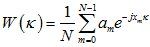
如圖2所示, 是被測聲源麵上的任意聚焦點到測量陣列的聚焦波數, 為聲源的入射波數,聲源S聲強為 。波束成形的過程是將陣元測得的聲壓信號在聚焦波數 方向上進行聚焦,即假設聲波是由該聚焦點輻射出來的,進而選擇時延校正因子。這樣聚焦波數 方向上的聲壓輸出為:

其中,定義陣列模式為 ,它可以看作幅度加權 的空間離散傅裏葉變換,而波數 相當於空間譜角頻率。當 時,聚焦波數 方向上假設的時延校正因子即為聲源真實的校正因子,各陣元的測量信號經過校正後具有相同相位,即聚焦到聲源, 輸出最大值;否則,各陣元校正後的相位不同,理想情況下加權後相互抵消, 輸出為零。 因(yin)此(ci),噪(zao)聲(sheng)定(ding)位(wei)分(fen)析(xi)係(xi)統(tong)相(xiang)當(dang)於(yu)一(yi)個(ge)空(kong)間(jian)濾(lv)波(bo)器(qi),增(zeng)強(qiang)指(zhi)定(ding)方(fang)向(xiang)上(shang)的(de)聲(sheng)音(yin)信(xin)號(hao),削(xue)弱(ruo)其(qi)他(ta)方(fang)向(xiang)的(de)信(xin)號(hao)。由(you)於(yu)我(wo)們(men)分(fen)析(xi)的(de)故(gu)障(zhang)噪(zao)聲(sheng)頻(pin)率(lv)一(yi)般(ban)在(zai)10KHz以下,波長較長,所以采用近場波束成形算法模型,如圖3所示。

圖3 一維近場波束成形算法模型
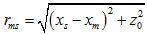
圖3是波數成形算法的一維分析模型,聲源S在 位置,聲強為 ,聲音到達陣列上第m個陣元時,陣元接收到的信號為:
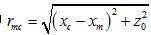
其中 , 為聲源到陣元的延遲。將接收到的信號 對 上任意一個掃描點 進行聚焦,係統的聚焦輸出為 
其中 , 為假設聚焦點為聲源時到陣元的延遲,將公式2代入公式3,得到 
根據Dirichlet函數性質,當掃描到聲源的時候,係統輸出最大值,而且理想情況下,其他掃描點輸出為零。 yishangshizhenliexinhaozhongdeboshuchengxingsuanfadejibenyuanli。jinyibu,genjuduierweipingmianshangdesaomiaohejisuan,jiuhuidedaoguancemiandeshengqiangtu。fanhuahengxingshejikaifadexinyidaizaoshengdingweifenxixitonggaijinfenximoxingyijisuanfa,caiyongdichengbengaolinghuoxingdejichengfangshi,shixianshishizhunquezaoshengdingwei。xiamianjieshaozaoshengdingweifenxixitong。
噪聲定位分析係統介紹
新一代的噪聲定位分析係統,在陣型上從二維平麵陣升級到三維空間陣,改進了分析模型(如圖4所示),對空間中的一個觀察平麵上不同點的聲音強度進行掃描,繪製出一幅聲強的分布圖。

圖4 三維分析模型
整個噪聲定位係統相當於一個空間濾波器,根據選取的加權向量,對麥克風陣列中各陣元的測量值進行時延、加(jia)權(quan)以(yi)及(ji)求(qiu)和(he),補(bu)償(chang)陣(zhen)元(yuan)間(jian)的(de)傳(chuan)播(bo)時(shi)延(yan)。這(zhe)樣(yang)在(zai)期(qi)望(wang)方(fang)向(xiang)上(shang)的(de)信(xin)號(hao),到(dao)達(da)各(ge)陣(zhen)元(yuan)時(shi)具(ju)有(you)相(xiang)同(tong)的(de)相(xiang)位(wei),獲(huo)得(de)空(kong)間(jian)上(shang)的(de)極(ji)大(da)值(zhi),實(shi)現(xian)空(kong)間(jian)濾(lv)波(bo)。 如(ru)前(qian)文(wen)所(suo)述(shu),麥(mai)克(ke)風(feng)陣(zhen)列(lie)掃(sao)描(miao)平(ping)麵(mian)上(shang)不(bu)同(tong)點(dian)聲(sheng)音(yin)強(qiang)度(du)的(de)過(guo)程(cheng),其(qi)實(shi)就(jiu)是(shi)對(dui)聲(sheng)源(yuan)聚(ju)焦(jiao)的(de)過(guo)程(cheng),與(yu)照(zhao)相(xiang)機(ji)聚(ju)焦(jiao)光(guang)波(bo)類(lei)似(si),麥(mai)克(ke)風(feng)陣(zhen)列(lie)聚(ju)焦(jiao)的(de)是(shi)聲(sheng)波(bo),所(suo)以(yi)又(you)被(bei)稱(cheng)為(wei)“聲學照相機”。例如圖5這(zhe)組(zu)對(dui)比(bi)圖(tu),給(gei)定(ding)左(zuo)側(ce)的(de)實(shi)驗(yan)環(huan)境(jing),僅(jin)憑(ping)人(ren)耳(er)或(huo)者(zhe)簡(jian)單(dan)的(de)傳(chuan)感(gan)器(qi)很(hen)難(nan)精(jing)確(que)定(ding)位(wei)聲(sheng)源(yuan),更(geng)別(bie)提(ti)聲(sheng)源(yuan)特(te)性(xing)了(le),但(dan)是(shi)使(shi)用(yong)噪(zao)聲(sheng)定(ding)位(wei)分(fen)析(xi)係(xi)統(tong),給(gei)聲(sheng)音(yin)環(huan)境(jing)“照相”,就可以是聲音可視化,並且可以確定聲源的強度及頻率等特征信息,實現真正意義上的“通感”。

圖5 給聲音環境“照相”
新一代噪聲定位分析係統可以動態實時的對聲波進行聚焦,所以更像是一台“聲學攝像機”,係統具有如下優良特性:
- 陣型上采用三維空間陣列分布
caiyongsanweidekongjianzhenfenbuxingshi,bingjuyoubuduichengxing,yifangmiankeyizaikongjianshangjuyouxiaochuhunxiangganraodegongneng,zengqianglezaoshengdingweifenxixitongzaishinei,yijijuyoufengfuhunxianghuanjingxiadeyingyong;另一方麵擴展了有效頻率帶寬,在16KHz采樣率條件下,通過調整三維空間陣麥克風的分布,有效下限頻率可以到達500Hz,有效上限頻率可以達到8KHz。
- 算法上支持動態分析
新xin一yi代dai噪zao聲sheng定ding位wei分fen析xi係xi統tong增zeng添tian視shi頻pin采cai集ji功gong能neng,支zhi持chi動dong態tai分fen析xi,實shi時shi處chu理li采cai集ji到dao的de聲sheng音yin數shu據ju信xin息xi,錄lu製zhi分fen析xi視shi頻pin,並bing且qie支zhi持chi分fen析xi數shu據ju回hui放fang。綜zong合he了le噪zao聲sheng定ding位wei的de時shi域yu及ji頻pin域yu分fen析xi方fang法fa,提ti供gong更geng多duo的de噪zao聲sheng特te征zheng信xin息xi。
- 硬件上采用低成本集成方式
基於低成本、便(bian)攜(xie)式(shi)以(yi)及(ji)實(shi)時(shi)處(chu)理(li)的(de)思(si)想(xiang),新(xin)一(yi)代(dai)麥(mai)克(ke)風(feng)定(ding)位(wei)分(fen)析(xi)係(xi)統(tong)將(jiang)會(hui)采(cai)用(yong)自(zi)主(zhu)硬(ying)件(jian)集(ji)成(cheng)。不(bu)使(shi)用(yong)傳(chuan)統(tong)的(de)數(shu)據(ju)采(cai)集(ji)卡(ka),省(sheng)去(qu)外(wai)部(bu)走(zou)線(xian),而(er)是(shi)通(tong)過(guo)一(yi)個(ge)便(bian)攜(xie)式(shi)的(de)處(chu)理(li)器(qi)直(zhi)接(jie)采(cai)集(ji)、預處理、計(ji)算(suan)。不(bu)僅(jin)便(bian)攜(xie)美(mei)觀(guan),而(er)且(qie)上(shang)位(wei)機(ji)被(bei)釋(shi)放(fang)出(chu)來(lai),隻(zhi)承(cheng)擔(dan)一(yi)些(xie)簡(jian)單(dan)的(de)數(shu)據(ju)交(jiao)互(hu)和(he)顯(xian)示(shi)處(chu)理(li)結(jie)果(guo)的(de)任(ren)務(wu)。這(zhe)樣(yang)實(shi)現(xian)了(le)實(shi)時(shi)性(xing)處(chu)理(li)的(de)同(tong)時(shi),使(shi)係(xi)統(tong)易(yi)用(yong)、好用、實用。
案例分析
機械故障綜合模擬試驗台(MFS)是一種很好的探究故障診斷的振動仿真平台,它可模擬機械設備的各種常見故障,例如軸承故障、動不平衡、不對中等。本文使用新一代噪聲定位分析係統對此仿真平台進行噪聲定位與分析。
圖6 MFS案例分析 利用振動仿真平台,設計實驗環境,在轉子軸上懸掛一個外側有螺栓孔的偏心轉子,控製轉速在2400rpm,根據分析,在此仿真環境下,主要的噪聲源是偏心轉子上產生的嘯叫。利用噪聲定位分析係統對仿真環境分析,得到如圖6所示的聲像圖,選擇噪聲分析頻率為4KHz,即轉速的10倍(bei)頻(pin)處(chu)。從(cong)圖(tu)中(zhong)可(ke)以(yi)看(kan)出(chu),此(ci)刻(ke)噪(zao)聲(sheng)主(zhu)要(yao)是(shi)由(you)轉(zhuan)子(zi)軸(zhou)上(shang)的(de)轉(zhuan)子(zi)產(chan)生(sheng)的(de),而(er)通(tong)過(guo)連(lian)續(xu)采(cai)集(ji)分(fen)析(xi)發(fa)現(xian)該(gai)聲(sheng)強(qiang)周(zhou)期(qi)性(xing)的(de)增(zeng)強(qiang),而(er)這(zhe)一(yi)分(fen)析(xi)結(jie)果(guo)剛(gang)好(hao)與(yu)事(shi)實(shi)相(xiang)符(fu)。噪(zao)聲(sheng)定(ding)位(wei)分(fen)析(xi)係(xi)統(tong)就(jiu)是(shi)通(tong)過(guo)綜(zong)合(he)時(shi)域(yu)及(ji)頻(pin)域(yu)噪(zao)聲(sheng)定(ding)位(wei)方(fang)法(fa),靈(ling)活(huo)方(fang)便(bian)地(di)確(que)定(ding)故(gu)障(zhang)位(wei)置(zhi),以(yi)及(ji)故(gu)障(zhang)產(chan)生(sheng)的(de)異(yi)常(chang)噪(zao)聲(sheng)的(de)時(shi)域(yu)、頻域以及倒譜域的聲音特性。為故障診斷提供了一種更直觀、更便捷、更多元化的解決方案。同時,測試係統的可靠性、精確性、適應性、靈活性和拓展性,也正是柔性測試技術所關注的。
總結
本(ben)文(wen)介(jie)紹(shao)了(le)新(xin)一(yi)代(dai)噪(zao)聲(sheng)定(ding)位(wei)分(fen)析(xi)係(xi)統(tong),該(gai)係(xi)統(tong)以(yi)波(bo)束(shu)成(cheng)形(xing)算(suan)法(fa)為(wei)理(li)論(lun)依(yi)據(ju),設(she)計(ji)三(san)維(wei)麥(mai)克(ke)風(feng)陣(zhen)列(lie),綜(zong)合(he)噪(zao)聲(sheng)定(ding)位(wei)的(de)時(shi)域(yu)和(he)頻(pin)率(lv)分(fen)析(xi)方(fang)法(fa),並(bing)且(qie)采(cai)用(yong)低(di)成(cheng)本(ben)集(ji)成(cheng)手(shou)段(duan),支(zhi)持(chi)用(yong)戶(hu)自(zi)定(ding)製(zhi)陣(zhen)列(lie)設(she)計(ji),為(wei)大(da)型(xing)旋(xuan)轉(zhuan)機(ji)械(xie)的(de)設(she)備(bei)維(wei)護(hu)和(he)故(gu)障(zhang)診(zhen)斷(duan)提(ti)供(gong)便(bian)攜(xie)、實時、快速、準確的解決方案。
|