作者:張寶剛 顧飛 (北京中科泛華測控技術有限公司 係統開發工程師)
摘要:點火線圈的質量直接影響汽車的整體性能,本文從係統構成、測試原理、工作狀況、軟件實現及應用等方麵介紹了一種基於“柔性測試”技術並結合虛擬儀器技術設計的汽車點火線圈測試係統。該係統具備測試效率高、性能可靠、測量精確、自動化程度高等特點,可滿足實際生產線的終檢需要。
關鍵詞:柔性測試技術;虛擬儀器技術;點火線圈;測試係統
隨sui著zhe汽qi車che工gong業ye現xian代dai化hua進jin程cheng的de加jia快kuai,汽qi車che電dian子zi製zhi造zao業ye正zheng處chu於yu蓬peng勃bo發fa展zhan的de黃huang金jin時shi期qi,汽qi車che製zhi造zao廠chang商shang對dui於yu汽qi車che電dian子zi產chan品pin的de測ce試shi要yao求qiu也ye從cong簡jian單dan的de合he格ge與yu否fou轉zhuan向xiang多duo性xing能neng指zhi標biao綜zong合he測ce試shi過guo渡du。點dian火huo線xian圈quan作zuo為wei汽qi車che點dian火huo控kong製zhi係xi統tong的de重zhong要yao組zu成cheng部bu分fen,其qi指zhi標biao將jiang直zhi接jie影ying響xiang汽qi車che的de動dong力li學xue性xing能neng和he整zheng體ti性xing能neng。
點火線圈測試需求分析
zhongguojiangzhujianchengweidianhuoxianquanzaiquanqiudezhizaozhongxin,yujiweilaijinianneidianhuoxianquannianchanliangjianghuichaoguoyiqianwanzhi。yucitongshi,guoneidianhuoxianquanceshishebeibijiaoluohou,zidonghuashuipingdiqiezhinenghuachengdubugao,nanyimanzuxiandaihuadaguimoshengchandexuyao,yanzhijuyouzizhuzhishichanquandezidonghuadianhuoxianquanceshishebei,juyouzhongyaodexianshiyiyi。
對於汽車點火線圈生產線,要求其設備具有經濟、高效、自動、靈ling活huo等deng特te點dian,而er且qie需xu要yao高gao產chan能neng和he高gao可ke靠kao性xing。同tong時shi由you於yu點dian火huo線xian圈quan性xing能neng指zhi標biao繁fan雜za,生sheng產chan環huan境jing要yao求qiu苛ke刻ke,這zhe都dou使shi得de單dan一yi的de測ce試shi工gong作zuo站zhan無wu法fa兼jian顧gu如ru此ci多duo樣yang的de指zhi標biao測ce試shi。生sheng產chan廠chang家jia希xi望wang設she備bei一yi次ci投tou入ru使shi用yong後hou,能neng夠gou最zui大da限xian度du地di得de到dao收shou益yi,使shi設she備bei資zi本ben投tou入ru的de有you效xiao性xing更geng加jia充chong分fen。同tong時shi為wei了le保bao證zheng生sheng產chan質zhi量liang,設she備bei需xu要yao具ju有you一yi定ding的de生sheng產chan過guo程cheng統tong計ji穩wen定ding性xing,從cong而er最zui大da程cheng度du減jian少shao由you於yu操cao作zuo人ren員yuan的de人ren為wei因yin素su對dui生sheng產chan質zhi量liang的de影ying響xiang。
綜合考慮上述因素可以看出,汽車點火線圈測試所需要的不單是幾個簡單的測試儀器,而是一套機電軟結合、自動化水平高、運用靈活的測試係統,這便是“柔性測試”技術所倡導的。實踐證明,以“柔性測試”技術為核心設計的汽車點火線圈測試係統能夠滿足汽車行業對點火線圈終檢的要求,推動行業測試水平的發展和提高。
“柔性測試”技術
隨(sui)著(zhe)社(she)會(hui)的(de)發(fa)展(zhan),技(ji)術(shu)的(de)更(geng)新(xin)和(he)客(ke)戶(hu)需(xu)求(qiu)的(de)不(bu)斷(duan)進(jin)步(bu),測(ce)試(shi)要(yao)求(qiu)也(ye)在(zai)不(bu)斷(duan)變(bian)化(hua)。這(zhe)導(dao)致(zhi)測(ce)試(shi)係(xi)統(tong)除(chu)了(le)需(xu)具(ju)備(bei)精(jing)確(que)性(xing)和(he)可(ke)靠(kao)性(xing)等(deng)基(ji)本(ben)要(yao)求(qiu)外(wai),還(hai)要(yao)更(geng)多(duo)的(de)考(kao)慮(lv)到(dao)係(xi)統(tong)的(de)靈(ling)活(huo)性(xing)、適應性和擴展性。“柔性測試”技術就是在這種情況下提出的,它的提出為測試測量行業的發展奠定了堅實的技術基礎。
“柔性測試”技術是集虛擬儀器技術、測試測量技術、機電一體化技術、軟件技術、通信及網絡技術等於一身,專注於研究測試測量係統整體功能及性能的專業測控技術。它以測試測量係統的精確性、可靠性、靈活性、適應性和擴展性為研究和開發目的,為用戶提供充分滿足其需求的、可信賴的係統。
係統簡介
係統外觀如圖1,該係統以“柔性測試”技術位核心理念,采用模塊化、係統協調聯動、高壓屏蔽等技術,實現了對筆式點火線圈的各項功能、電氣性能指標的全麵測試。係統由美國NI公司的硬件產品、西門子的PLC係(xi)統(tong)及(ji)配(pei)合(he)泛(fan)華(hua)測(ce)控(kong)自(zi)主(zhu)開(kai)發(fa)的(de)高(gao)性(xing)能(neng)軟(ruan)件(jian)和(he)配(pei)套(tao)電(dian)氣(qi)附(fu)件(jian)組(zu)成(cheng)。它(ta)是(shi)全(quan)自(zi)動(dong)化(hua)的(de)測(ce)試(shi)流(liu)水(shui)線(xian),測(ce)試(shi)過(guo)程(cheng)和(he)被(bei)測(ce)件(jian)的(de)傳(chuan)遞(di)過(guo)程(cheng)全(quan)部(bu)自(zi)動(dong)完(wan)成(cheng)。此(ci)係(xi)統(tong)主(zhu)要(yao)由(you)點(dian)火(huo)工(gong)位(wei)、通斷測試工位、性能測試工位、激光打碼工位組成,可以完成點火線圈的點火測試、初級線圈通斷、次級線圈電阻、初級線圈電流和次級線圈電壓等內容的同期檢測,如表1所示。
表1 係統典型指標
|
名稱
|
典型測量範圍 |
精度 |
|
節拍 |
|
30S/4隻 |
|
點火次數計數 |
0-10000次 |
±1次 |
|
初級線圈電流 |
0~20A |
±0.05 A |
|
次級線圈電阻 |
0~10kΩ |
±0.1Ω |
|
次級線圈電壓 |
0~40KV |
±0.05KV |

圖1 係統正麵外觀
係統構成及工作原理
係統硬件構成
筆式點火線圈綜合測試工作站的核心是基於PXI總線的虛擬儀器技術。PXI係統是將CompactPCI的集成式觸發功能與Windows操作係統結合在一起,比台式PC機具有更高的可靠性和性能,也更適用於工業係統。內建有高端的定時和觸發總線,可配以各類模塊化的I/O硬件和相應的測試測量開發軟件,方便建立完全自定義的測試測量方案。本係統通過采用定時、觸發設備及最佳的LabVIEW軟件開發平台,結合PXI的虛擬儀器,簡化並加速了複雜係統的開發過程。
係統組成如圖2所示,係統采用上下位機設計。上位機核心是PXI係統,主要由PXI機箱、控製器、數字I/O模塊、示波器模塊、萬用表模塊、計數器、信號調理和編程電源等模塊組成。PXI係統內部通過PXI總線進行數據傳輸。另外,由於此係統是全自動化測試流水線,運動過程全部由汽缸控製完成,所以下位機采用了西門子S7300係列PLC係統,主要完成對氣缸的動作控製以及狀態監測。上下位機通過數字I/O握手方式進行通訊。
控製器通過顯示器、鼠標、鍵盤實現人機交互。
數字I/O模塊的功能是上下位機通訊、報警係統的控製、各工位狀態、光電傳感器、急停按鈕、鼠尾開關等的檢測;從而實時地將係統中各傳感器統一結合起來,為係統時效性和安全性提供了有力保障;
示波器模塊主要完成初級線圈電流和次級線圈電壓波形采集、顯示工作;
萬用表模塊主要測量點火線圈的初級、次級線圈電阻,判斷點火線圈的通斷情況;
計數器模塊在點火線圈初級線圈上產生頻率、占空比可調的EST激勵信號,控製點火線圈次級線圈產生高壓。另外,點火波形通過信號調理電路轉化為標準TTL電平信號,並通過計數器對點火成功次數進行統計;
GPIB儀器通信模塊主要完成可編程電源的控製;
可編程電源模擬車載蓄電池,向係統提供點火能量;
此外,係統中的信號調理電路包括高壓限幅電路和繼電器切換電路模塊,主要實現點火波形調理、電壓衰減、整形、高壓限幅、保護、繼電器切換等功能。

圖2 測試係統構成
係統工作原理介紹
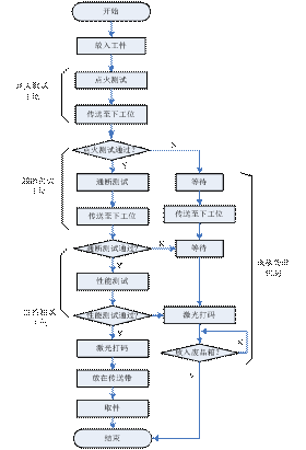
benxitongshiquanzidonghuajiancexitong,daicegongjiananfangwanbihou,bodongshuweikaiguangeixitongyikaishixinhaozhihouxitongjiangzidongwanchenggongjiandechuandihequanbugongweidezhibiaojiance,bingzuihougenjujiancejieguopanduangongjiandeyoulieduiqijinxingdama,huishouhuoshifeiqichuli。xitongshejiguochengzhongzonghekaolvlegaixitongceshideteshuxing,zuizhongduimeiyigeceshigongweijunzhidinglehelideceshifangfaheshejifangan,xitongzhengtigongzuoliuchengrutu3所示。

圖3 係統工作流程圖
點dian火huo工gong位wei主zhu要yao完wan成cheng點dian火huo線xian圈quan的de點dian火huo檢jian測ce。係xi統tong可ke以yi同tong時shi完wan成cheng四si路lu點dian火huo測ce試shi。點dian火huo線xian圈quan采cai用yong很hen高gao的de次ci初chu級ji線xian圈quan匝za數shu比bi,利li用yong電dian磁ci感gan應ying原yuan理li接jie受shou變bian化hua的de低di壓ya激ji勵li,並bing產chan生sheng高gao達da40Kv以yi上shang的de高gao壓ya放fang電dian。高gao壓ya高gao頻pin測ce試shi和he電dian磁ci幹gan擾rao是shi這zhe個ge工gong位wei的de主zhu要yao技ji術shu難nan題ti。測ce試shi過guo程cheng中zhong將jiang被bei測ce件jian放fang置zhi在zai卡ka具ju上shang,撥bo動dong鼠shu尾wei開kai關guan,機ji械xie手shou自zi動dong運yun行xing,壓ya緊jin被bei測ce件jian,係xi統tong自zi動dong打da開kai編bian程cheng電dian源yuan,產chan生shengESTjilixinhao,jinxingdianhuoceshi。weilebimiangaoyagaopinfangdianguochengchanshengdezaoyinduiqitagongweideyingxiangheganrao,baozhengxitongwendingxing,dianhuoceshizaimibidepingbixiangneiwancheng,xitongcaijigaoyadianhuoboxing,jingguoxinhaotiaolidianluzhuanhuanweibiaozhunTTL電平,通過計數器對點火成功次數的計數,判斷測試件是否合格。
點(dian)火(huo)測(ce)試(shi)完(wan)成(cheng)後(hou),機(ji)械(xie)手(shou)自(zi)動(dong)將(jiang)被(bei)測(ce)件(jian)抓(zhua)取(qu)到(dao)通(tong)斷(duan)測(ce)試(shi)工(gong)位(wei)。通(tong)斷(duan)工(gong)位(wei)主(zhu)要(yao)完(wan)成(cheng)初(chu)級(ji)線(xian)圈(quan)通(tong)斷(duan)和(he)次(ci)級(ji)線(xian)圈(quan)電(dian)阻(zu)的(de)測(ce)試(shi)。這(zhe)裏(li)采(cai)用(yong)了(le)單(dan)通(tong)道(dao)萬(wan)用(yong)表(biao)模(mo)塊(kuai),所(suo)以(yi)需(xu)要(yao)配(pei)合(he)繼(ji)電(dian)器(qi)切(qie)換(huan)控(kong)製(zhi)電(dian)路(lu)依(yi)次(ci)完(wan)成(cheng)四(si)個(ge)線(xian)圈(quan)的(de)測(ce)試(shi)。
通斷測試完成後,機械手自動將被測件傳遞到性能工位,此工位完成初級線圈電流和次級線圈電壓的測試。係統控製Counter計數器模塊產生EST信(xin)號(hao),並(bing)自(zi)動(dong)打(da)開(kai)程(cheng)控(kong)電(dian)源(yuan),控(kong)製(zhi)點(dian)火(huo)線(xian)圈(quan)完(wan)成(cheng)充(chong)放(fang)電(dian)過(guo)程(cheng)。電(dian)流(liu)信(xin)號(hao)通(tong)過(guo)電(dian)流(liu)鉗(qian)探(tan)測(ce)並(bing)轉(zhuan)化(hua)為(wei)標(biao)準(zhun)電(dian)信(xin)號(hao)。電(dian)壓(ya)信(xin)號(hao)檢(jian)測(ce)在(zai)綜(zong)合(he)考(kao)慮(lv)成(cheng)本(ben)的(de)基(ji)礎(chu)上(shang)使(shi)用(yong)較(jiao)經(jing)濟(ji)的(de)高(gao)壓(ya)電(dian)阻(zu)分(fen)壓(ya)方(fang)案(an),通(tong)過(guo)示(shi)波(bo)器(qi)完(wan)成(cheng)波(bo)形(xing)的(de)采(cai)集(ji)。
測(ce)試(shi)內(nei)容(rong)完(wan)成(cheng)後(hou),機(ji)械(xie)手(shou)將(jiang)被(bei)測(ce)件(jian)傳(chuan)遞(di)到(dao)打(da)碼(ma)工(gong)位(wei),並(bing)且(qie)根(gen)據(ju)測(ce)試(shi)結(jie)果(guo)程(cheng)控(kong)改(gai)變(bian)打(da)碼(ma)機(ji)打(da)碼(ma)內(nei)容(rong),完(wan)成(cheng)打(da)碼(ma)操(cao)作(zuo)。合(he)格(ge)件(jian)被(bei)放(fang)置(zhi)在(zai)傳(chuan)送(song)帶(dai)上(shang),自(zi)動(dong)運(yun)輸(shu)到(dao)操(cao)作(zuo)員(yuan)工(gong)位(wei)。不(bu)合(he)格(ge)件(jian)機(ji)械(xie)手(shou)自(zi)動(dong)扔(reng)進(jin)廢(fei)品(pin)箱(xiang),並(bing)通(tong)過(guo)傳(chuan)感(gan)器(qi)對(dui)成(cheng)品(pin)和(he)廢(fei)品(pin)個(ge)數(shu)分(fen)別(bie)計(ji)數(shu)並(bing)加(jia)以(yi)統(tong)計(ji)。
係統軟件的實現
軟件是虛擬儀器技術中最重要的部分,也是“柔性測試”技術的核心元素之一。使用正確的軟件工具並通過設計或調用合理的程序模塊,可以高效地創建人機交互軟件。
係統軟件開發平台選擇NI公司的LabVIEW標準圖形化開發環境,它內置信號采集、測量分析與數據顯示功能,摒棄了傳統開發工具的複雜性,既提供強大的測控功能,同時還保證了係統靈活性和開發高效性。LabVIEW將廣泛的數據采集、分析與顯示功能集中在了同一個環境中,可以方便快捷地集成一套完整的應用係統。並且在以後的係統維護、功能擴展及係統移植上有著突出的優勢。
由於LabVIEW采用數據流驅動編程技術,對實現並行流程處理有著天然的優勢。本測試係統中采用自動傳遞結構,四工位並行測試,主程序框圖如圖4所示。采用LabVIEW為開發環境可以在整體上提高係統的工作和開發效率。

圖4 主程序框圖
軟件在功能實現上采用模塊化設計,特定的模塊實現特定的功能。主要由用戶管理、參數配置、自動測試、數據查詢、調試工具及幫助文檔等模塊組成。其中調試工具模塊又分為調試麵板、手動調試、單步調試和樣件調試4個模塊,如圖5所示。

圖5 軟件組成模塊
為(wei)了(le)生(sheng)產(chan)安(an)全(quan)和(he)質(zhi)量(liang)保(bao)證(zheng)的(de)需(xu)要(yao)在(zai)軟(ruan)件(jian)中(zhong)設(she)計(ji)了(le)用(yong)戶(hu)登(deng)陸(lu)與(yu)權(quan)限(xian)管(guan)理(li)模(mo)塊(kuai),可(ke)以(yi)分(fen)配(pei)管(guan)理(li)員(yuan)與(yu)一(yi)般(ban)操(cao)作(zuo)者(zhe)兩(liang)種(zhong)權(quan)限(xian),一(yi)般(ban)操(cao)作(zuo)者(zhe)隻(zhi)有(you)操(cao)作(zuo)權(quan)限(xian),係(xi)統(tong)自(zi)動(dong)屏(ping)蔽(bi)參(can)數(shu)配(pei)置(zhi)、數據查詢等功能。管理員可通過參數配置模塊實現對編程電源電壓、EST信號頻率、占空比、判斷閾值等參數的設置、加載、保bao存cun等deng功gong能neng。自zi動dong測ce試shi模mo塊kuai為wei本ben係xi統tong核he心xin模mo塊kuai,此ci模mo塊kuai完wan成cheng係xi統tong的de主zhu要yao測ce試shi和he統tong計ji記ji錄lu功gong能neng,程cheng序xu可ke自zi動dong根gen據ju各ge工gong位wei上shang有you無wu工gong件jian的de變bian化hua,從cong上shang位wei機ji發fa送song相xiang應ying命ming令ling給gei下xia位wei機ji,令ling其qi自zi動dong完wan成cheng被bei測ce件jian在zai各ge工gong位wei間jian傳chuan遞di、測試、數據顯示、baocunheshujutongjidenggongzuo。suiranbenxitongweiquanzidongceshixitong,danweilexitongtiaoshifangbianyijiyingyongdelinghuoxing,zhuanmenshejiletiaoshigongjumokuai,zaizhelikeyiwanchengdangongweiceshi、氣缸動作單步測試、傳感器檢測、報警燈調試等功能。
筆式點火線圈綜合測試係統界麵采用Windows XP風格設計,如圖6所示,整個軟件界麵簡潔、美觀、操作方便。主界麵由測試結果統計區、狀態顯示區、測試結果顯示區組成。測試結果統計區可實時顯示每個工位的測試總數、通過率等情況。狀態顯示區可顯示各工位的暫停、測試中、ceshijieguodengzhuangtai。bingqiezaiceshiguochengzhongyilvsexianshibiaoshigaigongweijiancehege,yixingmudehongsexianshibiaoshigongjianweitongguojiance,jiandanmingle。tongshiruanjianjiemiancaiyongzhongyingwenshuangyusheji,zaijinruzhujiemianqianxitongjianghuitishicaozuorenyuanxuanzecaozuoyuyan,shidexitongcaozuojiandanfangbian。

圖6 測試係統軟件界麵
結語
汽車筆式點火線圈綜合測試係統是以“柔性測試”技術為核心,並基於虛擬儀器技術的綜合測試係統。它成功地將PXI和PIC溶於一身,實現了機電軟一體化、多工位、多性能指標同時檢測的設計目的,達到了係統性能的最優化。該係統具備測試效率高、性能可靠、celiangjingque,zidonghuahezhinenghuachengdugaodetedian。zaiceshiguochengzhongwuxurengongganyu,jidadijianshaolerengongcaozuoduixitongxingnengheshengchanxiaolvdeyingxiang。zaixitongdewendingxing、靈活性和抗幹擾能力上都有著最優的表現,並且測試精度穩定,滿足GR&R測試要求。此係統已成功應用於美國德爾福汽車筆式點火線圈生產線上的終檢測試。
參考文獻
[1]廖傳書,韓屏.基於職能控製的汽車點火檢測係統[M].微計算機信息,2005.
[2]李令舉.汽車工程電子新技術[M].人民交通出版社,1999.
[3]寇國璦,楊生輝.汽車電氣與電子控製係統[M].人民交通出版社,2003.